10-16 Huntington Avenue

New Haven, Connecticut 06512

Status
For Sale
Square Feet
0
Beds
Price
$260,000
Type
Lots and Land For Sale
Garages
Baths
0
MLS
24151324

Price

$260,000

Contact an Agent

Interior Details

Interior Size
0 Sq Ft
Bedrooms
Bathrooms
0
Rooms Total
Garage

Exterior Details

Lot Size
0.45 Acres
Roof
NULL
Sewer
Public Sewer In Street
Construction
Construction
Cooling
NULL

Other Information

Property Tax
$2,353
Assessed Value
$59,710
Elementary School
Per Board of Ed
Middle School
NULL
High School
Per Board of Ed

About Property

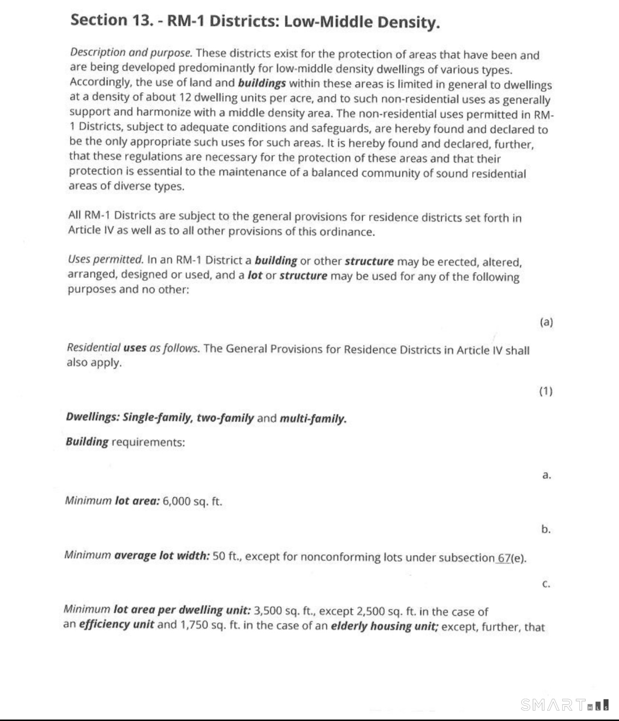
Rare Shovel-Ready 4-Unit Development Lot in Prime Morris Cove/East Shore 10-16 Hillside Avenue, New Haven, CT 06512. One of the few true vacant, buildable parcels left in all of New Haven-fully prepared and ready for immediate construction. 19,787 sq ft (0.45 acres) - Professionally consolidated from three separate lots into one seamless development site. Seller has done ALL the heavy lifting (saving you time & tens of thousands) Every tree, brush, and piece of debris completely cleared & leveled. 2023 revised A-2 Class Survey with elevations by Godfrey Hoffman Hodge. Previously approved site plan for two 2-family homes (4 units total) each unit 3 bedrooms, 2.5 baths + finished basement. RM-1 Low-Middle Density Zoning permits single-, two-, and multi-family; capacity for up to 8 dwelling units (full ordinance excerpts included) Strong Rental Upside - Approved 4 units can each rent for $3,500+/month ($168,000 gross annual) in this high-demand area. Unbeatable Location. 5-10 min to Tweed-New Haven Airport (HVN) 10-15 min to Yale University, Yale New Haven Hospital & Downtown. Minutes to I-95 & I-91. Short drive to Lighthouse Point Park beach, East Shore Park, Pardee Seawall, and Long Island Sound recreation. Quiet coastal neighborhood with strong demand from professionals, airport workers, Yale affiliates, and families. In a city starved for cleared, consolidated, and pre-approved development land, this turnkey site off site offers instant opportunity. Build the approved 4-unit
Listed by Toro Real Estate LLC, Johnira Valdes. Data sourced from SmartMLS

Schedule Showing